Σύνολα

Σύνολο:

Μία συλλογή διακεκριμένων αντικειμένων.

Τυπικός Συμβολισμός Συνόλου:

S={a, b, c}, όπου a, b, c τα μέλη ή στοιχεία του συνόλου
ή

S={x | το x έχει κάποιες ιδιότητες}.

 

Παρατηρήσεις:

α) το κενό σύνολο

β) διάταξη στοιχείων

γ) διακεκριμένα μέλη

Σχέσεις συνόλων

P Ν Q : το P είναι υποσύνολο του Q εάν κάθε στοιχείο του P είναι και στοιχείο του Q.

P = Q : το P είναι ίσο με το Q εάν αποτελούνται από τα ίδια ακριβώς στοιχεία.

P Μ Q : το P είναι γνήσιο υποσύνολο εάν το P είναι υποσύνολο του Q και P δεν είναι ίσο με το Q.

 

Συνδυασμοί Συνόλων

 

P(A): Το δυναμοσύνολο του Α είναι το σύνολο το οποίο περιέχει όλα τα υποσύνολα του Α

Αρχή του Εγκλεισμού και του Αποκλεισμού:

Για την ένωση δύο συνόλων

Έστω τα σύνολα Α1 και Α2 με πληθικούς αριθμούς |A1| και |A2| αντίστοιχα. Θα υπολογίσουμε τον πληθικό αριθμό της ένωσης |A1Θ A2| των δύο συνόλων.

Αν τα δύο σύνολα δεν έχουν κοινά στοιχεία τότε προφανώς ισχύει |A1Θ A2|=|A1|+|A2|. Ας υποθέσουμε ότι τα δύο σύνολα έχουν κοινά στοιχεία. Ο αριθμός των κοινών στοιχείων των Α1 και Α2 είναι |A1Η A2|. Κάθε ένα από τα στοιχεία αυτά έχει καταμετρηθεί δύο φορές στο |A1|+|A2| ενώ θα έπρεπε να καταμετρηθεί μόνο μία φορά. Για το λόγο αυτό από το |A1|+|A2| θα πρέπει να αφαιρέσουμε την ποσότητα |A1Η A2|.

Ο τύπος υπολογισμού που προκύπτει από τα παραπάνω είναι:

Ο παραπάνω τύπος ισχύει και στην περίπτωση που τα δύο σύνολα δεν τέμνονται, αφού τότε θα ισχύει |A1Η A2|=0.

 

Για την ένωση τριών συνόλων

Έστω τα σύνολα Α1, Α2 και Α3 με πληθικούς αριθμούς |A1|, |A2| και |A3| αντίστοιχα. Θα υπολογίσουμε τον πληθικό αριθμό της ένωσης |A1Θ A2Θ A3| των τριών συνόλων.

Αν τα τρία σύνολα δεν έχουν κοινά στοιχεία τότε προφανώς ισχύει |A1Θ A2Θ A3|=|A1|+|A2|+|A3|. Ας υποθέσουμε ότι τα τρία σύνολα έχουν κοινά στοιχεία. Ο αριθμός των κοινών στοιχείων των Α1 και Α2 είναι |A1Η A2|. Κάθε ένα από τα στοιχεία αυτά έχει καταμετρηθεί δύο φορές στο |A1|+|A2|+|A3|. Ο αριθμός των κοινών στοιχείων των Α1 και Α3 είναι |A1Η A3|. Κάθε ένα από τα στοιχεία αυτά έχει καταμετρηθεί δύο φορές στο |A1|+|A2|+|A3|. Ο αριθμός των κοινών στοιχείων των Α2 και Α3 είναι |A2Η A2|. Κάθε ένα από τα στοιχεία αυτά έχει καταμετρηθεί δύο φορές στο |A1|+|A2|+|A3|. Για το λόγο αυτό από το |A1|+|A2|+|A3| θα πρέπει να αφαιρέσουμε τις ποσότητες |A1Η A2|, |A1Η A3| και |A2Η A3|. Ο αριθμός των κοινών στοιχείων των Α1, Α2 και Α3 είναι |A1Η A2Η A3|. Κάθε ένα από τα στοιχεία αυτά έχει καταμετρηθεί τρεις φορές στο |A1|+|A2|+|A3|. Αφού όμως:

τα στοιχεία του συνόλου A1Η A2Η A3 έχουν καταμετρηθεί από μία φορά σε κάθε μία από τις ποσότητες |A1Η A2|, |A1Η A3| και |A2Η A3|. Συνεπώς ένας τύπος της μορφής:

θα ήταν ελλιπής γιατί με αυτόν δεν θα είχαμε καταμετρήσει τα στοιχεία του συνόλου A1Η A2Η A3. Άρα ο σωστός τύπος είναι της μορφής:

 

Για την ένωση r συνόλων

 

Γενικά για τα σύνολα Α1, Α2, …, Αr ισχύει η παρακάτω σχέση:

 

Παράδειγμα: Να γραφεί η αρχή του εγκλεισμού και του αποκλεισμού για την ένωση τεσσάρων συνόλων.

 

Παράδειγμα: Να προσδιοριστεί ο αριθμός των ακεραίων μεταξύ 1 και 250 οι οποίοι διαιρούνται από καθέναν από τους ακεραίους 2,3, και 5.

Έστω Α1 το σύνολο ακεραίων που διαιρούνται με το 2, Α2 το σύνολο ακεραίων που διαιρούνται με το 3 και Α3 το σύνολο ακεραίων που διαιρούνται με το 5. Είναι προφανές ότι ο αριθμός που αναζητούμε είναι το |A1Θ A2Θ A3|.

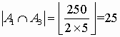
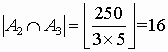
Έχουμε τα παρακάτω:

 

 

Εφαρμόζοντας την αρχή του εγκλεισμού και του αποκλεισμού:

οδηγούμαστε στο παρακάτω αποτέλεσμα: